INFORMACIÓN DE LAS MATERIAS
EXAMEN SELECTIVIDAD MATEMÁTICAS CCSS JUNIO 2013
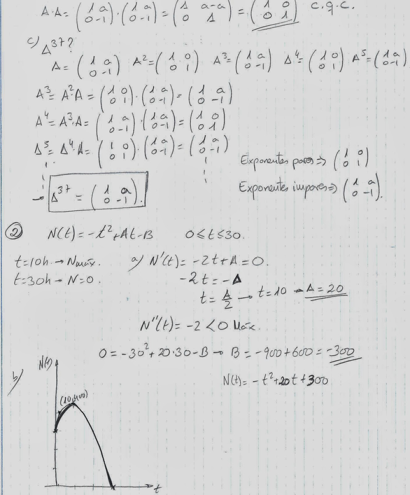
SOLUCIONES EXAMEN PAU 2013 MATEMÁTICAS CCSS EXTREMADURA
RESPUESTAS EXAMEN SELECTIVIDAD JUNIO 2013 MATEMÁTICAS CCSS.EXTREMADURA
SOLUCIONES EXAMEN PAU 2013 MATEMÁTICAS CCSS OPCIÓN B.EXTREMADURA
No hay comentarios:
Publicar un comentario